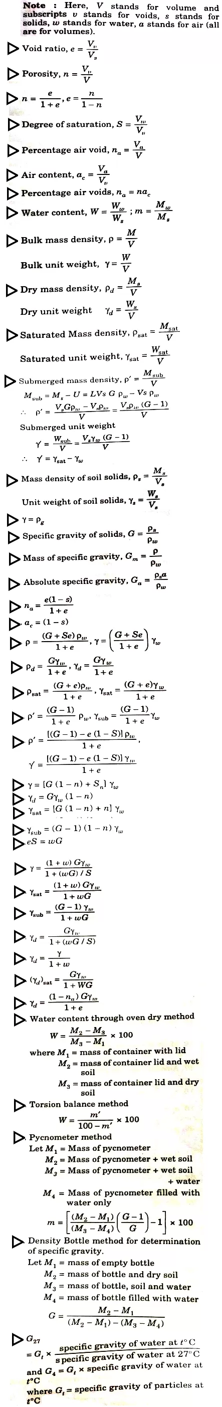
Index Properties FormulaCivilMarch 15, 2020Soil MechanicsCommentsIndex Properties FormulaTable of ContentsToggleIndex Properties FormulaRelatedRelated